salvasolution.com  2017-2024 by Dr. Ali P. Laleh                                    All rights reserved. Bio & Biblio
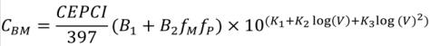
Cost Estimation The Role of Process Economics The Levels of Capital Cost Estimation Time Functionality of Capital Cost Guthrie’s Modular Technique Bare Module Cost for Process Vessels The Role of Process Economics Considering   the   fact   that   the   purpose   of   any   chemical   process   is   to   make   profit,   it   is   obvious   that process    economics    need    be    accounted    for    seriously.    Always,    an    estimate    of    the    investment required    and    the    cost    of    production    are    needed    before    the    profitability    of    a    project    can    be assessed. There are three basic roles of process economics in process design: 1. Evaluation of design options. 2. Process optimization. 3. Overall project profitability. The Levels of Capital Cost Estimation Sinnott   and   Towler   (2007)   noted   that   the   accuracy   of   an   estimate   depends   on   the   amount   of   design detail   available:   the   accuracy   of   the   cost   data   available;   and   the   time   spent   on   the   estimate.   There are   five   levels   of   capital   cost   estimates   which   can   be   encountered   in   the   process   industries   (Turton et al., 2018): 1. Detailed estimate, with accuracy of ±1% and when project is defined almost completely. 2. Definitive estimate, with accuracy of ±3% and when about 70% of project details is available. 3. Preliminary estimate, with accuracy of ±6% and when about 40% of project details is available. 4. Study estimate, with accuracy of ±12% and when about 15% of project details is available. 5. Order-of-magnitude estimate, with accuracy of ±20% and when about 2% of project is defined. Feasibility   estimates   (order-of-magnitude   or   study   estimates)   are   made   to   compare   many   process alternatives.   More   accurate   estimates   (preliminary   or   definitive   estimates)   are   made   for   the   most profitable   processes   identified   in   the   feasibility   study.   Detailed   estimates   are   then   made   for   the more   promising   alternatives   that   remain   after   the   preliminary   estimates.   Based   on   the   results   from the   detailed   estimate,   a   final   decision   is   made   whether   to   go   ahead   with   the   construction   of   a plant. The   most   accurate   estimate   of   the   purchased   cost   of   a   piece   of   major   equipment   is   provided   by   a current   price   quote   from   a   suitable   vendor   (a   seller   of   equipment).   The   next   best   alternative   is   to use    cost    data    on    previously    purchased    equipment    of    the    same    type.    Another    technique, sufficiently   accurate   for   study   and   preliminary   cost   estimates,   uses   summary   graphs   available   for various types of common equipment. Time Functionality of Capital Cost The   cost   of   materials   and   labor   is   always   subject   to   inflation.   All   cost-estimating   methods   use historical   data,   and   are   themselves   forecasts   of   future   costs.   Some   method   has   to   be   used   to   update old   cost   data   for   use   in   estimating   at   the   design   stage,   and   to   forecast   the   future   construction   cost of   the   plant.   Published   cost   indices   are   usually   used   to   update   historical   cost   data   (Sinnott   and Towler,   2007).   These   relate   present   costs   to   past   costs,   and   are   based   on   data   for   labor,   material and energy costs published in government statistical digests. Commonly    used    indices    are    the    Chemical    Engineering    Indexes    (1957–1959    index    =    100)    and Marshall   and   Swift   (1926   index   =   100),   published   in   Chemical   Engineering   magazine   and   the Nelson–Farrar   Cost   Indices   for   refinery   construction   (1946   index   =   100)   published   in   the   Oil   and Gas    Journal.    The    Chemical    Engineering    Plant    Cost    Index    (CEPCI)    is    particularly    useful    for equipment   costing   (Turton   et   al.,   2018).   The   values   of   CEPCI   from   1995   to   2015   are   provided   in   the following ta ble. Guthrie’s Modular Technique The   modular   costing   technique   is   generally   accepted   as   the   best   for   making   preliminary   cost estimates.    This    approach    was    introduced    by    Guthrie    in    the    late    1960s    and    early    1970s.    As described   by   Turton   et   al.   (2018),   this   costing   technique   relates   all   costs   back   to   the   purchased   cost of   equipment   evaluated   for   some   base   conditions.   Deviations   from   these   base   conditions   are handled by using multiplying factors that depend on the following: 1. The specific materials of construction with the correction factor of f M 2. The specific system pressure with the correction factor of f P 3. The specific system temperature with the correction factor of f T For   equipment   made   from   materials   of   construction   other   than   Carbon   Steel   and/or   operating   at non-ambient pressure and temperature, the values for correction factors are greater than 1.0. In   order   to   account   for   both   direct   and   indirect   costs   of   an   installed   piece   of   equipment,   the   final result   of   a   cost   estimation   is   usually   given   in   terms   of   the   Bare   Module   Cost   (BMC).   BMC   is   the sum of the direct and indirect expenses for purchasing and installing a piece of equipment. Materials    of    construction    have    a    significant    influence    on    the    capital    cost    of    equipment.    The following    table    gives    some    approximate    average    factors    to    relate    the    different    materials    of construction for equipment capital cost (Smith, 2005). The   operating   pressure   also   impacts   equipment   capital   cost.   To   account   for   the   pressure   rating, Smith (2005) provides the following typical correction factors: The   operating   temperature   also   influences   equipment   capital   cost.   This   is   caused   by,   amongst other   factors,   a   decrease   in   the   allowable   stress   for   materials   of   construction   as   the   temperature increases   (Smith,   2005).   Typical   factors   to   account   for   the   operating   temperature   are   presented   in the following table: Bare Module Cost for Process Vessels As   an   example,   Guthrie’s   modular   technique   is   used   for   cost   estimation   of   cylindrical   process vessels.   The   bare   module   cost   for   this   equipment   is   given   by   the   following   equation   (Turton   et   al., 2018): In   this   equation,   V   is   the   vessel   volume   in   m 3 ,   and   the   data   for   f M ,   B 1 ,   B 2 ,   K 1 ,   K 2    and   K 3    are   as follows: In   order   to   find   pressure   functionality   of   the   bare   module   cost,   one   must   consider   its   rigorous mechanical    design    procedures.    The    relationship    between    design    pressure    and    wall    thickness required   to   withstand   the   radial   stress   in   the   cylindrical   portion   of   the   vessel,   as   recommended   by the ASME (2000), is given as: where   t   is   the   wall   thickness   in   m,   P   is   the   design   pressure   in   kPa,   D   is   the   diameter   of   the   vessel in   m,   S   is   the   maximum   allowable   stress   of   material   in   kPa,   E   is   a   weld   efficiency,   and   CA   is   the corrosion   allowance   (m).   The   weld   efficiency   is   dependent   on   the   type   of   weld   and   the   degree   of examination   of   the   weld.   Typical   values   are   from   1.0   to   0.6.   The   corrosion   allowance   depends   on the   service,   and   typical   values   are   from   3.15   to   6.3   mm   (0.125   to   0.25   inches).   Finally,   the   maximum working   pressure   of   the   material   of   construction,   S,   is   dependent   not   only   on   the   material   but   also on    the    operating    temperature.    Now,    we    consider    the    fact    that    the    cost    of    the    vessel    is approximately   proportional   to   the   weight   of   the   vessel,   which   in   turn   is   proportional   to   the   vessel thickness. Therefore, with some simplifications, the following equation can be derived for f P : If   f P    is   calculated   to   be   less   than   1.0,   then   a   value   of   1.0   must   be   used   instead.   For   operating pressures   less   than   50   kPa,   the   vessel   must   be   designed   to   withstand   full   vacuum,   that   is,   100   kPa of   external   pressure   and   a   pressure   factor   of   1.25   should   be   used   for   such   conditions   (Turton   et   al., 2018). References: Guthrie, K.M.,”Process Plant Estimating, Evaluation and Control”, Solana Beach, 1974. Section VIII, ”ASME Boiler and Pressure Vessel Code”, ASME Boiler and Pressure Vessel Committee, 2000. Sinnott, R.K., Towler, G., “Chemical Engineering Design” in “Coulson & Richardson’s Chemical Engineering”, Fifth Edition, Butterworth-Heinemann, 2007. Smith, R., “Chemical Process Design and Integration”, Second Edition, John Wiley and Sons, 2005. Turton, R., Shaeiwitz, J.A., Bhattacharyya, D., Whiting, W.B., "Analysis, Synthesis, and Design of Chemical Processes", Fifth Edition, Pearson Education, 2018. Ulrich, G.D., “A Guide to Chemical Engineering Process Design and Economics”, John Wiley and Sons, 1984.
Cost Estimation The Role of Process Economics The Levels of Capital Cost Estimation Time Functionality of Capital Cost Guthrie’s Modular Technique Bare Module Cost for Process Vessels The Role of Process Economics Considering    the    fact    that    the    purpose    of    any    chemical process     is     to     make     profit,     it     is     obvious     that     process economics    need    be    accounted    for    seriously.    Always,    an estimate     of     the     investment     required     and     the     cost     of production   are   needed   before   the   profitability   of   a   project can    be    assessed.    There    are    three    basic    roles    of    process economics in process design: 1. Evaluation of design options. 2. Process optimization. 3. Overall project profitability. The Levels of Capital Cost Estimation Sinnott    and    Towler    (2007)    noted    that    the    accuracy    of    an estimate   depends   on   the   amount   of   design   detail   available: the   accuracy   of   the   cost   data   available;   and   the   time   spent   on the   estimate.   There   are   five   levels   of   capital   cost   estimates which   can   be   encountered   in   the   process   industries   (Turton et al., 2018): 1.   Detailed   estimate,   with   accuracy   of   ±1%   and   when   project is defined almost completely. 2.   Definitive   estimate,   with   accuracy   of   ±3%   and   when   about 70% of project details is available. 3.    Preliminary    estimate,    with    accuracy    of    ±6%    and    when about 40% of project details is available. 4.   Study   estimate,   with   accuracy   of   ±12%   and   when   about 15% of project details is available. 5.   Order-of-magnitude   estimate,   with   accuracy   of   ±20%   and when about 2% of project is defined. Feasibility       estimates       (order-of-magnitude       or       study estimates)   are   made   to   compare   many   process   alternatives. More      accurate      estimates      (preliminary      or      definitive estimates)     are     made     for     the     most     profitable     processes identified    in    the    feasibility    study.    Detailed    estimates    are then   made   for   the   more   promising   alternatives   that   remain after   the   preliminary   estimates.   Based   on   the   results   from the   detailed   estimate,   a   final   decision   is   made   whether   to   go ahead with the construction of a plant. The   most   accurate   estimate   of   the   purchased   cost   of   a   piece of   major   equipment   is   provided   by   a   current   price   quote from   a   suitable   vendor   (a   seller   of   equipment).   The   next   best alternative    is    to    use    cost    data    on    previously    purchased equipment   of   the   same   type. Another   technique,   sufficiently accurate    for    study    and    preliminary    cost    estimates,    uses summary    graphs    available    for    various    types    of    common equipment. Time Functionality of Capital Cost The   cost   of   materials   and   labor   is   always   subject   to   inflation. All    cost-estimating    methods    use    historical    data,    and    are themselves   forecasts   of   future   costs.   Some   method   has   to   be used   to   update   old   cost   data   for   use   in   estimating   at   the design   stage,   and   to   forecast   the   future   construction   cost   of the   plant.   Published   cost   indices   are   usually   used   to   update historical   cost   data   (Sinnott   and   Towler,   2007).   These   relate present   costs   to   past   costs,   and   are   based   on   data   for   labor, material     and     energy     costs     published     in     government statistical digests. Commonly    used    indices    are    the    Chemical    Engineering Indexes    (1957–1959    index    =    100)    and    Marshall    and    Swift (1926    index    =    100),    published    in    Chemical    Engineering magazine   and   the   Nelson–Farrar   Cost   Indices   for   refinery construction   (1946   index   =   100)   published   in   the   Oil   and   Gas Journal.     The     Chemical     Engineering     Plant     Cost     Index (CEPCI)   is   particularly   useful   for   equipment   costing   (Turton et    al.,    2018).    The    values    of    CEPCI    from    1995    to    2015    are provided in the following ta ble. Guthrie’s Modular Technique The   modular   costing   technique   is   generally   accepted   as   the best   for   making   preliminary   cost   estimates.   This   approach was   introduced   by   Guthrie   in   the   late   1960s   and   early   1970s. As   described   by   Turton   et   al.   (2018),   this   costing   technique relates   all   costs   back   to   the   purchased   cost   of   equipment evaluated   for   some   base   conditions.   Deviations   from   these base   conditions   are   handled   by   using   multiplying   factors that depend on the following: 1.   The   specific   materials   of   construction   with   the   correction factor of f M 2.   The   specific   system   pressure   with   the   correction   factor   of f P 3.   The   specific   system   temperature   with   the   correction   factor of f T For   equipment   made   from   materials   of   construction   other than   Carbon   Steel   and/or   operating   at   non-ambient   pressure and   temperature,   the   values   for   correction   factors   are   greater than 1.0. In   order   to   account   for   both   direct   and   indirect   costs   of   an installed    piece    of    equipment,    the    final    result    of    a    cost estimation   is   usually   given   in   terms   of   the   Bare   Module   Cost (BMC).   BMC   is   the   sum   of   the   direct   and   indirect   expenses for purchasing and installing a piece of equipment. Materials   of   construction   have   a   significant   influence   on   the capital   cost   of   equipment.   The   following   table   gives   some approximate   average   factors   to   relate   the   different   materials of construction for equipment capital cost (Smith, 2005). The   operating   pressure   also   impacts   equipment   capital   cost. To   account   for   the   pressure   rating,   Smith   (2005)   provides   the following typical correction factors: The     operating     temperature     also     influences     equipment capital    cost.    This    is    caused    by,    amongst    other    factors,    a decrease   in   the   allowable   stress   for   materials   of   construction as   the   temperature   increases   (Smith,   2005).   Typical   factors   to account   for   the   operating   temperature   are   presented   in   the following table: Bare Module Cost for Process Vessels As   an   example,   Guthrie’s   modular   technique   is   used   for   cost estimation   of   cylindrical   process   vessels.   The   bare   module cost   for   this   equipment   is   given   by   the   following   equation (Turton et al., 2018): In   this   equation,   V   is   the   vessel   volume   in   m 3 ,   and   the   data for f M , B 1 , B 2 , K 1 , K 2  and K 3  are as follows: In   order   to   find   pressure   functionality   of   the   bare   module cost,    one    must    consider    its    rigorous    mechanical    design procedures.   The   relationship   between   design   pressure   and wall   thickness   required   to   withstand   the   radial   stress   in   the cylindrical   portion   of   the   vessel,   as   recommended   by   the ASME (2000), is given as: where   t   is   the   wall   thickness   in   m,   P   is   the   design   pressure in    kPa,    D    is    the    diameter    of    the    vessel    in    m,    S    is    the maximum   allowable   stress   of   material   in   kPa,   E   is   a   weld efficiency,   and   CA   is   the   corrosion   allowance   (m).   The   weld efficiency   is   dependent   on   the   type   of   weld   and   the   degree of   examination   of   the   weld.   Typical   values   are   from   1.0   to 0.6.   The   corrosion   allowance   depends   on   the   service,   and typical   values   are   from   3.15   to   6.3   mm   (0.125   to   0.25   inches). Finally,   the   maximum   working   pressure   of   the   material   of construction,   S,   is   dependent   not   only   on   the   material   but also   on   the   operating   temperature.   Now,   we   consider   the   fact that   the   cost   of   the   vessel   is   approximately   proportional   to the   weight   of   the   vessel,   which   in   turn   is   proportional   to   the vessel   thickness.   Therefore,   with   some   simplifications,   the following equation can be derived for f P : If   f P    is   calculated   to   be   less   than   1.0,   then   a   value   of   1.0   must be   used   instead.   For   operating   pressures   less   than   50   kPa, the   vessel   must   be   designed   to   withstand   full   vacuum,   that is,   100   kPa   of   external   pressure   and   a   pressure   factor   of   1.25 should be used for such conditions (Turton et al., 2018). References: Guthrie, K.M.,”Process Plant Estimating, Evaluation and Control”, Solana Beach, 1974. Section VIII, ”ASME Boiler and Pressure Vessel Code”, ASME Boiler and Pressure Vessel Committee, 2000. Sinnott, R.K., Towler, G., “Chemical Engineering Design” in “Coulson & Richardson’s Chemical Engineering”, Fifth Edition, Butterworth-Heinemann, 2007. Smith, R., “Chemical Process Design and Integration”, Second Edition, John Wiley and Sons, 2005. Turton, R., Shaeiwitz, J.A., Bhattacharyya, D., Whiting, W.B., "Analysis, Synthesis, and Design of Chemical Processes", Fifth Edition, Pearson Education, 2018. Ulrich, G.D., “A Guide to Chemical Engineering Process Design and Economics”, John Wiley and Sons, 1984.
salvasolution.com  2017-2024 by Dr. Ali P. Laleh             All rights reserved.